PeakFittingInMultifit
Slicing datasets in subpatterns
Fits in Multifit assume that you do not have too many peaks and that the background is linear. Therefore, it is necessary to define sub-patterns in the image.
Select each sub-pattern so that
- peaks in a sub-pattern are reasonably close to each other, and not overlapping with other sup-patterns,
- for each sub-pattern, you will be able to select the region of azimuth angles to consider, all peaks should be present at all azimuth angles,
- peaks in the sub-pattern will never go off the image (because of an increase of pressure for instance) within the defined azimuthal range.
In the example below, I decided that a set of 3 sub-patterns will be appropriate, the first include 3 peaks, the second and third only one. Peaks are far off the side of the diffractograms and will never get out of the diffraction image.

Choosing sub-patterns
Select range in azimuth
Sometimes, data may not be available over the whole range of azimuth. This may be for various reasons
- beam stop or other object on the way,
- peak that is far in two theta and can only be seen in corners of image plates,
- ...
It is important that, for each subpattern, you know the range of azimuth for which peaks can be fitted. Those ranges in azimuth should be available for all images you want to deal with.
If you do not ensure this, multifit will get lost when peaks disappear and will most probably crash.
Peak shape models
3 types of models are available for the peak shape
- gauss,
- lorentz,
- pseudo-voigt.
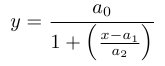
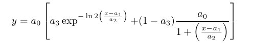
Gaussian and Lorentzian peaks will have 3 parameters: position, intensity and half-width. Pseudo-voigt peaks have 4 parameters: position, intensity, half-width, and relative weight of the Gaussian and Lorenzian profiles.
Detailled equations for the peak profiles are below:

Gaussian peak profile

Lorentzian peak profile

Pseudo-voigt peak profile